| 計畫名稱 | 再生能源併網政策研究與技術推動計畫 |
|---|---|
| 主題名稱 | 再生能源高占比研究 |
| 資料時間 | 2016/06/03 |
| 上傳時間 | 2016/6/3 |
| 國別 | 國內 |
| 能源領域 | 科技 |
| 能源業務 | 新及再生能源 |
| 決策知識類別 | 評析 |
| 關鍵字 | 再生能源高占比 |
重點摘述
根據我國「再生能源發展條例」的規定,每兩年就必須透過滾動式管理機制,重新檢討並修正我國再生能源的推動目標,以穩健的方式逐步提升我國自主性能源占比,並努力開發各種多元化的發電資源,促進我國綠色經濟產業發展。2015年5月能源局發布修正再生能源推廣目標,2030年再生能源目標為提升為17,250MW,然水力、地熱及生質能成長較為有限,而風力及太陽光電可大量開發,合計目標為13,900MW。為了達成上述目標,除了政府政策的支持與民眾積極的參與之外,技術面部分,必須探討台灣電力系統若要成容納如此大量之再生能源,初期必須盤點西部沿岸變電站之位置以及相關規範。有鑑於此,本文將進行西部沿岸配電變電所(161/22.8kV)之可併接位置盤點,以及「IEC-61400-21」於電網併聯衝擊分析的相關規範,提供國內相關單位進行參考,以利推動後續國內再生能源高占比之發展。
台灣特高壓等級的系統主要包括345kV、161kV與69kV。包括超高變電所(Extra-High Voltage Substation,簡稱,E/S,電壓345/161kV)、一次變電所 (Primary Substation,簡稱P/S,電壓161/69kV)、一次配電變電所(Distribution Substation,簡稱D/S,161/22.8kV或161/11.4kV)與二次變電所(Secondary Substation簡稱S/S,電壓69/22.8kV或69/11.4kV)。台灣輸電網路在簡化電壓層級之政策上,歷經1999年的921大地震之後全面檢討決定,對後續之新建高壓變電所以配電變電所(D/S)為主。依據「IEC-61400-21」的報告建議,風力併接變電所69kV以上的匯流排,會降低對電力品質之衝擊影響;再者,離岸區塊的容量皆為100MW以上,依據「台電再生能源發電系統併聯技術要點」之併聯系統分類,規定發電設備總容量在20MW以上者,得併接於特高壓系統。圖1為台北至屏東沿岸可併接之一次配電變電所
.jpg)
圖1、台北至屏東沿岸可併接之一次配電變電所
依據IEC-61400-21規範所述,於電網併聯衝擊分析上可分為電網設備、穩態電壓變動、併聯或解聯引起之電壓變動、電壓閃爍等,茲將說明如下:
(1)電網設備計算
電網設備需能夠負荷整個風場之十分鐘平均視在功率SA max 10 min:
(2)穩態電壓變動
要求出風機於併接點引起之電壓變動率,需要先得知整個風場之一分鐘平均視在功率SA max 1 min:
在併接點之穩態相對電壓變動(△U)之計算是依據整個風廠全部風機之一分鐘平均視在功率SA max 1 min為依據,如下式推導,其中φ為風機相位角,是由功率因數cosφ=λ計算得知。
(3)併聯或解聯引起之電壓變動
風場因風機併聯(解聯)時而引起之電壓變動應該非常小,因為風場中所有風機不會同時啟動。通常,風場運轉系統會確保風機一個個依序的切入(啟動),而不會有兩台或更多的風機同時啟動。相對電壓變動dk之計算,是依據啟動於額定風速之電壓變動因數 。由於風機於額定風速切入轉接引起之電壓變動為最高,因此可以此作為風機之最壞情況的假設條件。
(4)電壓閃爍
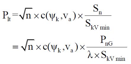
風場因連續運轉而產生之閃爍失真,可依據單一風機連續運轉於某一電網阻抗角ψk及平均風速va時之閃爍係數c( ψk , va )來評估。而長期電壓閃爍Plt以下計算評估:
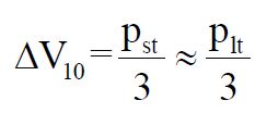
由IEC 61400-21可知,當連續運轉時,長期電壓閃爍值Plt等於短期電壓閃爍值Pst。而國外研究實測經驗顯示Pst與△V10之比值為3,其中△V10為每秒變化10次之等效電壓閃爍值,另國內實測結果亦證實Pst與△V10之比值介於2~4,平均值約為3,因此△V10為:
| 資料提供者/機構 | 呂學德 / 工業技術研究院 |
|---|---|
| 最後修改者 | |
| 聯絡電話 | 03-5913344 |
| 聯絡 Email | shiuederlu@itri.org.tw |
- 熱門點閱
- 儲能自動頻率控制(AFC)輔助服務簡介(50763)
- 各式太陽能電池的優缺點評析(30612)
- 再生能源併網對配電系統不平衡之衝擊與改善方法(20653)